1. 서론
기계적 변형에 따라 구조색의 파장이 변화하는 연성 광소재(soft photonic material)는 외부 전기 신호 입력 없이도 기계적 변형을 색 변화로 직접 변환할 수 있다는 점에서 시각형 변형 센서로 큰 관심을 받고 있다[1–3]. 특히 구조색 기반 감지 메커니즘은 전자 회로가 필요 없고, 에너지를 소비하지 않으며, 인간이 직관적으로 인지할 수 있는 정보를 제공한다는 점에서 웨어러블 기기, 소프트 로보틱스, 생체 적합 센서 등 다양한 분야에서 중요한 대안 기술로 자리잡고 있다.
이들 소재 가운데 카이랄 액정 엘라스토머(chiral liquid crystal elastomer, CLCE)는 광학적 선택 반사(optical selective reflection)를 가능하게 하는 포토닉 밴드갭 구조와 고신축성을 동시에 지닌 독특한 재료 플랫폼이다[4–6]. CLCE는 나선형 액정 배열(helical pitch)을 가진 구조적 특성으로 인해 외부의 인장 변형이 pitch의 직접적인 변화를 유도하고, 이는 반사파장의 blue-shift 혹은 red-shift로 나타난다. 이러한 광학적 변조는 가역적이며 높은 repeatability를 갖기 때문에, CLCE는 장기 안정성을 요구하는 변형 감지 장치나 차세대 구조색 디스플레이 재료로서 활발히 연구되고 있다.
그러나 구조색 기반 변형 센서의 성능을 최적화하기 위해서는 CLCE의 기계적 물성, 특히 탄성률(elastic modulus)이 광학 응답에 미치는 영향을 정량적으로 이해하는 것이 필수적이다[7]. 일반적으로 Δλc/ε(변형률 대비 파장이동)는 helical pitch 변화의 기하학적 특성으로 인해 이론적으로는 탄성률에 크게 의존하지 않는다고 알려져 있다[8]. 하지만 동일한 변형률을 구현하기 위해 필요한 응력(σ)과 인장력(F)은 탄성률에 따라 크게 달라지며, 그 결과 실제 센서 구동 상황에서는 인장력에 따른 중심 파장 이동 또는 인장 응력에 따른 중심 파장 이동(Δλc/F 또는 Δλc/σ)이 센서의 민감도(sensitivity)를 결정하는 핵심 인자로 작용한다. 이는 소재의 강성이 높을수록 필요한 인장력과 인장응력이 증가하고, 그에 따라 소재의 광학적 변화가 달라지는 비선형적 상관성이 존재함을 의미한다. 따라서 CLCE의 탄성률은 단순한 기계적 특성이 아니라 광학적 기능성을 좌우하는 핵심 설계 변수로 간주될 수 있다.
그럼에도 불구하고, 기존 연구들은 CLCE의 합성 조건과 광학 특성 자체에 초점을 둔 경우가 많았으며[9–11], 탄성률을 독립 변수로 두고 기계적 강성–광학 응답의 상관관계를 체계적으로 규명한 연구는 부족한 실정이다. 구조색 소재의 가교밀도(crosslinking density)를 변화시켜 탄성률만을 조절하고, 이에 따른 Δλc–F(인장력 기반 파장 이동) 혹은 Δλc/F(힘 대비 민감도)를 직접 비교한 정량적 연구는 드물다. 이러한 공백은 CLCE 기반 구조색 센서의 실제 설계 단계에서 “어떤 탄성률을 선택해야 최적의 optical sensitivity를 얻을 수 있는가?”라는 실질적인 문제를 해결하는 데 걸림돌이 된다.
이에 본 연구에서는 Thiol–Acrylate 반응을 기반으로 반응성 메조겐(reactive mesogen)과 가교제(EDDET +PETMP)의 조성을 조절하여, 서로 다른 탄성률을 갖는 CLCE를 제조하였다[12]. 제작된 시료는 동적 인장시험과 실시간 반사 스펙트럼 측정을 통해 기계적 특성 및 기계-광학적 응답을 포괄적으로 분석하였다. 또한 동일한 변형 조건에서의 Δλc–F 및 Δλc/F를 정량적으로 비교하여, 탄성률 변화가 구조색 변형 센서의 광학적 민감도 및 신호 안정성에 미치는 영향을 체계적으로 규명하였다.
본 연구는 CLCE의 탄성률을 독립적 설계 변수로 활용해 optical responsivity, sensitivity, repeatability를 조절할 수 있음을 보이고자 하며, 이를 통해 구조색 기반 센서의 성능을 재료 설계 단계에서부터 최적화할 수 있는 새로운 전략을 제시한다. 나아가 modulus-encoded CLCE 플랫폼은 고감도 시각형 strain sensing, 내구성을 요구하는 웨어러블 photonics, 반복 변형 환경의 soft robotic skin 등 다양한 응용 분야에서 중요한 재료적 기반을 제공할 것으로 기대된다.
2. 연구방법
본 연구에서는 엘라스토머 내에 카이랄성을 유도하기 위한 카이랄 액정 메조겐으로 chiral reactive mesogen LC756를 활용하였다. 또한 diacrylate 기반 반응성 메조겐인 RM257을 반응성 모노머 재료로 활용하였다.
Thiol chain extender EDDET, thiol 기반 crosslinker PETMP, 광개시제 Irgacure 651, 촉매 DPA, 그리고 anhydrous toluene(99.8%)을 엘라스토머 형성을 위해 사용하였다. 기판으로는 상용 PET film인 OHP film을 활용하였다.
먼저, LC756과 RM257을 toluene에 용해한 뒤 80°C에서 약 10분간 가열하여 균일한 전구체 용액을 제조하였다. 용액의 온도를 실온에서 떨어뜨린 후, EDDET, PETMP, Irgacure 651, 촉매 DPA 를 순차적으로 첨가하여 vortexer를 활용하여 Bar-coating에 적합한 점도의 균질 용액 상태에 도달할 때까지 약 5–10분 vortexing을 지속하였다.
준비된 oligomer 혼합물은 OHP film 위에 200 μm gap applicator를 이용하여 10 mm s-1의 속도로 bar-coating하였다. 원하는 반사 구조색이 형성되면, 시편을 중심 파장 365 nm, 광세기 30 mW cm-2의 UV 광원 아래에서 5분간 광중합하였다. 이와 같은 공정을 반복하여 서로 다른 탄성률을 갖는 free-standing CLCE—고탄성률 CLCEH, 중간 탄성률 CLCEM, 저탄성률 CLCEL—를 각각 제작하였다.
CLCE 필름의 점탄성 거동과 탄성률 차이에 따른 동적 기계적 특성 변화를 규명하기 위해, 먼저 DMA(동적열기계분석, dynamic mechanical analysis)를 수행하여 시편의 저장탄성률과 손실탄성률 변화를 정량적으로 평가하였다. 이를 통해 각 CLCE 조성의 기계적 응답을 파악하고, 후속 인장 실험에서 관찰되는 거동의 기초 물성적 기반을 확보하였다.
이러한 DMA 분석을 바탕으로, CLCE 필름의 기계적·광학적 응답을 보다 종합적으로 이해하기 위해 외부 기계적 자극에 따른 구조적·광학적 변화를 동시에 측정할 수 있는 통합 실험 시스템을 구축하였다. 특히 서로 다른 탄성률을 갖는 시편 간의 비교를 위해, 기계적 특성은 MFS350 모듈식 힘 제어 스테이지를 이용하여 정밀하게 분석하였다. 이 장비는 시편에 인가되는 하중과 변형률을 안정적으로 제어함으로써, CLCE의 응력–변형 관계를 고해상도로 측정할 수 있다.
기계변색(mechanochromic) 거동과 기계-광학적 연동성을 규명하기 위해, 시편 인장은 BX53M 광학 현미경 위에서 수행되었으며, 고해상도 CMOS 카메라를 이용해 반사 구조색의 변화를 실시간으로 기록하였다. 이를 통해 CLCE 내부의 cholesteric pitch 변화가 외부 변형에 따라 어떻게 반응하는지를 정성적으로 파악할 수 있었다.
또한 고해상도 분광기를 연결하여 변형률 증가에 따른 반사 스펙트럼의 중심 파장 이동을 정량적으로 측정하였다. 이를 통해 photonic bandgap의 이동을 nm 단위로 정확히 추적할 수 있었으며, 기계적 변형 전달과 광학 반응성 간의 상관관계를 명확하게 해석할 수 있었다. 모든 실험은 동일한 MFS350 스테이지에서 일정한 조건으로 진행하여, 서로 다른 탄성률을 갖는 CLCE 시편 간의 기계-광학적 응답을 일관된 기준에서 비교·분석할 수 있도록 하였다.
3. 결과 및 고찰
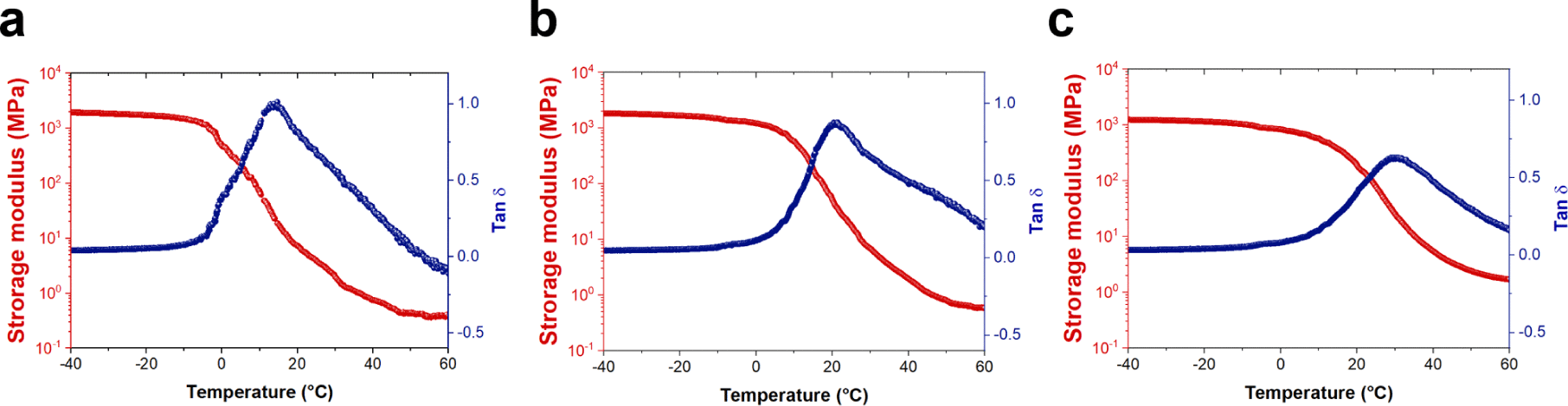
세 가지 탄성률(낮은 탄성률, 중간 탄성률, 높은 탄성률)을 갖는 CLCE 필름의 기계적 거동을 평가하기 위해 DMA 분석과 단축 인장 실험을 수행하였다. Fig. 3a–Fig. 3c에 제시된 DMA 온도 스윕 결과는, 각 시편의 네트워크 강성 및 점탄성 손실 특성이 탄성률에 따라 뚜렷하게 달라짐을 보여준다.
먼저 저장탄성률(E′)의 경우, Low-E 시편은 약 –20°C 부근에서 103 MPa 수준을 유지하다가 상온을 지나며 급격히 감소했으며, Tan δ 피크는 약 15°C 부근에서 나타났다(Fig. 2a). 이는 비교적 낮은 가교 밀도와 유연한 네트워크로 인해 유리전이 온도(Tg)가 상대적으로 낮은 특성을 반영한다. Medium-E 시편은 저장탄성률 감소와 Tan δ 피크가 모두 20°C 부근으로 이동하여(Fig. 2b), Low-E 대비 네트워크 고정도가 증가함을 보여준다. High-E 시편에서는 이러한 경향이 더 극명하게 나타나, Tan δ 피크가 약 30–35°C 근방에서 관찰되며(Fig. 2c), 저장탄성률 또한 보다 높은 수준을 장시간 유지하였다. 이는 높은 RM257 비율과 낮은 thiol 함량으로 인해 네트워크 강성이 크게 증가한 결과이다.
또한, Fig. 3은 서로 다른 가교밀도를 갖도록 설계된 CLCEL, CLCEM, CLCEH의 인장 응력–변형률 곡선을 나타낸다. 세 시료 모두 비선형 연성(elastomeric) 거동을 보이며, 변형률 증가에 따라 응력이 점진적으로 증가하는 전형적인 고분자 네트워크 특성을 보여준다. 그러나 전체 응답의 기울기와 응력의 절대 크기는 가교밀도, 즉 탄성률(elastic modulus)에 따라 뚜렷하게 구분된다.
가장 낮은 가교밀도를 갖는 CLCEL은 동일한 변형률에서 가장 낮은 응력을 나타냈으며, 약 0.8의 큰 변형률까지 비교적 완만한 비선형 응답을 유지하였다. 이는 네트워크 사슬의 이동성이 높아 인장 변형이 쉽게 전달되는 soft elastomer 특성을 반영한다. 중간 수준의 가교밀도를 갖는 CLCEM은 CLCEL보다 높은 응력값을 보이며, 초기 기울기(initial modulus)와 strain-hardening 정도가 보다 뚜렷해졌다. 가장 높은 가교밀도를 갖는 CLCEH의 경우, 네트워크 강성이 크게 증가하여 동일 변형률에서 가장 높은 응력을 나타냈으며, 작은 변형률 영역에서도 초기 기울기가 급격히 증가하는 특징을 보였다.
이러한 결과는 crosslinking density 증가에 따라 고분자 네트워크의 rigidity와 제한된 chain mobility가 기계적 응답을 지배하게 됨을 잘 보여준다. 즉, 가교밀도가 높을수록 변형에 필요한 활성화 에너지가 증가하여 고탄성(high-modulus) 특성이 나타나며, 이는 strain-induced optical response에도 직접적인 영향을 미치게 된다. 따라서 본 기계적 특성 분석은 이후 제시되는 force–color coupling 및 Δλc/F 특성의 탄성률 의존성을 해석하는 중요한 기초 자료가 된다.
이렇게 기계적 특성이 다르게 제작된 CLCE 샘플의 기계-광학적 특성을 평가하기 위해 인장력을 인가하며, CLCE의 중심 파장 변화를 정량적으로 평가하였다 (Fig. 4). Fig. 4a는 서로 다른 탄성률을 갖는 세 종류의 CLCE 시료(CLCEL, CLCEM, CLCEH)에 인가한 인장력에 따라 중앙 반사파장(Δλc)이 어떻게 변화하는지를 나타낸다. 전체적으로 세 시료 모두 인장력이 증가함에 따라 CLCE의 광학적 주기가 짧아짐에 따라 Δλc가 증가하는 전형적인 blue-shift 거동을 보였으나, 증가 속도와 포화 경향은 탄성률에 따라 뚜렷하게 구분되었다. 가장 낮은 탄성률을 갖는 CLCEL은 매우 작은 하중에서도 큰 Δλc를 보이며, 약 0.3–0.4 N 부근에서 급격한 파장 이동 이후 점진적으로 포화되는 형태를 나타냈다. 이는 낮은 crosslinking density로 인해 네트워크가 쉽게 변형되면서 pitch가 민감하게 줄어드는 구조적 특성이 반영된 결과이다. 중간 탄성률의 CLCEM은 유사한 증가 추세를 보이지만, 동일한 하중에서 Δλc 값이 더 작고 포화에 도달하는 force 범위도 더 넓어졌다. 반면 고탄성률을 갖는 CLCEH는 네트워크 강성이 높아 변형이 제한되기 때문에 전체 Δλc 변화량이 가장 작고 증가 곡선도 완만하게 유지되었다.
즉, 탄성률이 낮을수록 동일 하중에서 더 큰 파장 이동을 보이며, 네트워크 강성이 커질수록 mechano-chromic 응답의 기울기가 완만해지는 명확한 modulus-dependent behavior가 관찰되었다.
Fig. 4b는 각 시료의 중앙 파장 이동량을 인가한 인장력으로 정규화한 Δλc/F 값을 제시한 것으로, 이는 CLCE의 force-strain sensitivity(단위 force당 광학 응답 민감도)를 직접적으로 비교한 것이다. CLCEL은 초기에 약 300 nm·N–1 이상의 매우 높은 민감도를 보였으나, 인장력의 증가와 함께 Δλc/F가 빠르게 감소하는 형태를 보였다. 열역학적으로 보면, 초기에는 네트워크가 비교적 쉽게 변형되지만 일정 변형 이후 strain-stiffenning 효과에 의해 광학적 응답 변화가 감소하는 것으로 해석할 수 있다. CLCEM은 CLCEL에 비하여 낮은 약 200 nm·N–1 수준에서 시작하여 완만한 감소 경향을 보였으며, 이는 중간 정도의 crosslinking density를 갖는 네트워크가 초기 변형에 대해서는 충분히 민감하지만 이후 strain-hardening 효과가 상대적으로 일찍 나타나기 때문이다. CLCEH는 전체 측정 범위에서 가장 낮은 민감도를 유지하면서 완만하게 감소하는 형태를 보였는데, 이는 높은 modulus로 인해 네트워크 재배열에 필요한 활성화 에너지가 커지고 pitch compression이 제한되기 때문으로 해석된다.
두 결과를 통합하면, CLCE의 mechano-optical 특성은 탄성률에 강하게 의존하며, 낮은 modulus는 높은 optical gain 및 높은 초기 민감도로 이어지는 반면, 높은 modulus는 작은 Δλc와 낮은 sensitivity를 유도하는 구조역학적 메커니즘이 확인되었다. 따라서 CLCE의 crosslinking density를 정밀하게 조절함으로써 원하는 힘 범위에서 최적화된 optical responsivity를 설계할 수 있음을 Fig. 4는 명확하게 보여준다.
Fig. 5는 서로 다른 탄성률을 갖는 세 종류의 CLCE 시료(CLCEL, CLCEM, CLCEH)를 0–0.4의 인장 변형 범위에서 50회의 cyclic stretching–relaxation 시험을 수행한 후, 각 사이클의 최대 변형에서 측정한 중앙 반사파장 λc_cc의 변화를 나타낸다. 세 시료 모두 50회 반복 변형 동안 λc 값이 초기 대비 ±10% 이내에서 매우 안정적으로 유지되었으며, 장기적인 피로(fatigue)로 인한 optical degradation은 관찰되지 않았다.
낮은 탄성률을 갖는 CLCEL은 약 140–150 nm 범위에서 미세한 변화만을 보였고, 중간 탄성률의 CLCEM 역시 115–125 nm 부근에서 사이클 수와 무관하게 일정한 λc_cc를 유지하였다. 높은 탄성률의 CLCEH_HH 또한 가장 작은 절대 파장 이동량을 가지며, 88–92 nm 범위에서 매우 안정적인 repeatability를 보여주었다.
이 결과는 modulus-engineered CLCE 네트워크가 반복적인 기계적 자극에 대해서도 구조적 재배열이나 비가역적인 pitch 변화를 유발하지 않음을 의미한다. 다시 말해, crosslinking density가 서로 다름에도 불구하고 모든 CLCE는 뛰어난 변형 내구성(mechanical durability)과 광학적 안정성(optical stability)을 동시에 확보하고 있으며, 이는 장시간 반복적인 변형 조건이 요구되는 wearable photonics, soft optical sensors, mechanochromic actuators 등의 응용에 매우 유리한 특성이다.
4. 결론
본 연구에서는 서로 다른 탄성률을 갖도록 설계된 modulus-engineered CLCE를 제작하고, 기계적 변형에 따른 광학적 응답을 정량적으로 분석함으로써 CLCE의 mechano-optical coupling 메커니즘을 체계적으로 평가하였다. 합성 과정에서 소재의 가교밀도를 연속적으로 조절함으로써 낮은 탄성률에서 높은 탄성률까지 물성 변화를 구현하였고, 이에 따라 네트워크의 변형 거동, pitch 조절 능력, director 재배열 특성이 크게 달라짐을 확인하였다.
기계적 특성 평가에서는 탄성률이 증가할수록 고유한 strain–stress 관계가 나타났으며, 이러한 네트워크 강성 차이는 광학적 거동과 직접적으로 연계되었다. Mechano-optical 측정 결과, 낮은 탄성률의 CLCE는 작은 힘에도 큰 반사파장 변화를 보이며 큰 광학적 특성 변화를 제공하였고, 중간 및 높은 탄성률에서는 Δλc 변화량과 민감도가 점진적으로 감소하는 modulus-dependent 응답이 확인되었다. 이는 가교 변화가 분자 이동성, CLCE의 주기 구조 수축 효율, helical alignment 안정성 등 광학적 변조의 핵심 매개 변수에 영향을 주기 때문으로 해석된다.
또한 본 연구는 단일 인장 사이클에서의 민감도뿐 아니라 장기적인 안정성 검증에서도 중요한 결과를 제시하였다. 50회 이상의 cyclic stretching–relaxation 실험에서 세 종류의 CLCE 모두 λc가 초기값 대비 ±10% 이내로 유지되며, 피로 누적, 구조적 열화가 거의 관찰되지 않았다. 이는 CLCE 네트워크가 반복 변형 조건에서도 높은 복원력과 우수한 광학적 안정성을 제공하는 광학적 소재임을 입증한다.
이와 같은 실험적 결과는 modulus 조절이라는 단일 파라미터만으로 광학 응답 크기, 민감도, 안정성을 동시에 설계할 수 있음을 의미한다. 즉, CLCE는 재료 조성 및 crosslink architecture의 공학적 제어를 통해 특정 힘 범위, 특정 감도, 특정 안정성을 설계 목표에 맞추어 프로그래밍할 수 있는 고도로 조절 가능한 photonic 플랫폼으로 기능한다.
따라서 본 연구에서 제시한 modulus-engineered CLCE는 고감도 기계변색 센서, 인체 적합성을 갖춘 wearable photonics, 반복 변형 환경의 soft robotics, 구조색 기반 보안 소자 등 다양한 차세대 광학 시스템에 적용될 수 있는 높은 잠재력을 가지며, 기계–광학 상호작용 기반의 기능성 연성 광학 재료 설계에 새로운 방향성을 제시한다.





