Journal of Flexible and Printed Electronics
Korea Flexible & Printed Electronics Society
RESEARCH

전기 화학 박리를 통한 대면적, 용액공정 2차원 이황화 몰리브덴 열전 소자 제작 연구

고은1, 조경준1,*
Eun Go1, Kyungjune Cho1,*
1한국과학기술연구원 전자파솔루션융합연구단
1Convergence Research Center for Solutions to Electromagnetic Interference in Future-Mobility, Korea Institute of Science and Technology, Seoul, Korea
*Correspondence: kcho@kist.re.kr

Author Contributions

Conceptualization: KC, Methodology: EG, KC, Investigation: EG, Visualization: EG, Funding acquisition: KC, Project administration: KC, Supervision: KC, Writing – original draft: EG, KC, Writing – review & editing: KC.

ⓒ Copyright 2025 Korea Flexible & Printed Electronics Society. This is an Open-Access article distributed under the terms of the Creative Commons Attribution Non-Commercial License (http://creativecommons.org/licenses/by-nc/4.0/) which permits unrestricted non-commercial use, distribution, and reproduction in any medium, provided the original work is properly cited.

Received: Nov 13, 2025; Revised: Dec 12, 2025; Accepted: Dec 31, 2025

Published Online: Dec 31, 2025

Graphical Abstract

jfpe-4-2-249-a1

ABSTRACT

In recent years, thermoelectric generators (TEGs) have received considerable attention in energy harvesting for their ability to convert temperature differences into electrical voltage without an external power supply. They are therefore considered promising for harvesting waste heat and enabling self-powered electronic systems. Among various thermoelectric materials, two-dimensional (2D) materials, known for their intrinsically high Seebeck coefficient, have emerged as strong candidates for thermoelectric applications, although their low electrical conductivity often limits the overall power factor (PF). While previous studies have attempted to address this issue through doping, such approaches can introduce charged impurities that act as scattering centers and degrade carrier mobility. Instead, we employed electrochemically exfoliated (ECE) MoS2. ECE MoS2 is known to contain a higher density of sulfur vacancies generated during the exfoliation process, which can significantly enhance electrical conductivity without additional doping. Moreover, ECE MoS2 ink, followed by a solution process, can yield scalable and uniform films for large-area processing. Using this approach, we fabricated a large-area ECE MoS2 TEG. The device exhibited a high Seebeck coefficient (S) of –215 μV·K–1, which is comparable to previously reported mechanically exfoliated MoS2 based TEGs. This demonstrates that sulfur-vacancy-induced carrier modulation in ECE MoS2 can effectively improve electrical transport without external dopants. Overall, this work provides a scalable and efficient strategy for the fabrication of large-area 2D thermoelectric devices and paves the way for the practical realization of high performance, self-powered electronic systems.

Keywords: Thermoelectric Generator (TEG); Two-dimensional (2D) materials; MoS2; Electrochemical exfoliation (ECE); Large-area

1. 서론

컴퓨팅, 인공지능, 서버 등의 정보처리 기술이 급속히 발전함에 따라 전자기기의 데이터 처리량과 전력 소비가 폭발적으로 증가하고 있다. 이를 구동하기 위한 전력 생산에 많은 에너지가 투입되고 있으며, 이 과정에서 상당한 환경적 부담이 발생하고 있다. 이에 따라 지속 가능한 친환경 에너지 생산 기술의 필요성이 강조되고 있다. 그 방법으로, 열전 에너지 하베스팅 기술이 주목받고 있다[1]. 열전 기술은 정보 처리 시스템 과정에서 발생하는 열이나 다양한 환경에서 버려지는 폐열을 전기에너지로 직접 변환할 수 있는 기술로, 자립형 에너지 변환 방식이라는 점에서 높은 잠재력을 가진다[2].

기존의 열전 소재로는 Bi2Te3, PbTe, Scutterudite 계열 등이 널리 연구되어 왔으나, 이들은 취성, 독성, 희소원소 사용 등 구조적·환경적 한계를 가지고 있다[35]. 이러한 이유로, 차세대 열전 에너지 하베스팅 분야에서는 새로운 소재의 탐색이 요구되고 있다.

그 중에서도 2차원 (two-dimensional, 2D) 소재는 차세대 열전 소재로 각광받고 있다[6]. 2D 구조에서 나타나는 에너지에 따른 전자 밀도 상태(density of states, DoS)의 변화는 높은 제벡 계수(seebeck coefficient, S)를 유도할 수 있으며[7], 특히 전이금속 칼코겐화합물(transition metal chalcogenide, TMC) 계열은 적절한 밴드갭(1–2 eV)과 높은 전하 이동도를 동시에 갖춘 2D 열전 소재로 주목받고 있다[8].

하지만 2D 소재를 실제 열전 분야에 활용하기 위해서는 여전히 여러 기술적 난제가 존재한다. 현재 대부분의 연구는 수 마이크로미터 크기의 단일 플레이크를 이용하여 소재 특성을 평가한다[9,10]. 이러한 방식은 대면적 소자 제작이나 이를 통한 산업적 응용에는 사용하기 어렵다는 한계가 있다. 대면적 합성 기술로는 화학기상증착법(chemical vapor deposition, CVD) 등이 있지만, 공정의 난이도와 비용이 높으며, 균일도와 결정성이 낮다는 단점이 있다[11]. 더 나아가 대부분의 2D 반도체 소재는 낮은 전기 전도도를 가지고 있기 때문에[12] 이를 해결하기 위해 많은 방법들이 연구되어 왔다. 예를 들어, MoS2와 탄소나노튜브(carbon nanotube, CNT), 환원 그래핀옥사이드(reduced graphene oxide, rGO) 등을 복합화하거나, Al, P, Ni 등의 원소를 도핑하는 방법이 보고되었다[13-16]. 하지만 이러한 접근은 고가의 재료나 추가적인 공정이 요구된다는 어려움을 가지고 있다.

본 연구에서는 이러한 단점을 극복하기 위해 이황화 몰리브덴(MoS2)의 전기화학적 액상 박리(electrochemical exfoliation, ECE) 방법을 이용하였다. 이 방법은 이온 주입이라는 간단한 전기화학 반응을 통해 MoS2 나노시트를 대량 생산할 수 있으며, 추가적인 공정 없이도 높은 전기 전도도를 확보할 수 있다는 장점을 지닌다. ECE 과정에서 인가되는 전기에너지가 MoS2 내의 S2- 이온을 쉽게 탈리시키며 높은 농도의 황 결함(S vacancy)을 형성한다는 것은 선행 연구를 통해 보고된 바 있다[17]. 이러한 황 결함은 n형 도핑 효과를 유도하여 전자 밀도를 증가시키고, 결과적으로 전기 전도도가 크게 향상된다[18]. 본 연구에서는 ECE와 추가적인 원심분리 공정 및 용액 교환 공정을 통해 고품질의 MoS2 잉크를 성공적으로 제작하였고, 이를 활용하여 제작된 ECE MoS2 필름 기반 열전소자는 기존의 기계적 박리를 통한 2D 소재 기반 열전 소자에 비해 매우 큰 면적과 높은 열전 성능을 동시에 구현하였다.

이 연구 결과는 2D 소재를 실질적인 열전 및 에너지 하베스팅 분야에 적용할 수 있다는 가능성을 제시하며, 경제적이고 확장 가능한 2D 열전 소자 제작 기술의 기반을 마련하였다는 점에서 의의가 있다.

2. 연구방법

2.1. 잉크 제작

벌크 MoS2(SPI supplies) 결정을 작업 전극(working electrode)으로, 백금(Pt)을 상대 전극(counter electrode)으로 사용하였다. 전해질은 사중부틸암모늄 브로마이드(tetraheptylammonium bromide, THAB, 150 mg, Daejung)를 아세토나이트릴(Acetonitrile, 30 mL, Daejung)에 용해하여 준비하였다. MoS2에 –5 V에서 –8 V의 전위를 1시간 30분 동안 인가하여 THA+ 이온이 MoS2의 반 데르 발스(van der Waals, vdW) 갭 사이로 삽입되도록 하였다. 이후 이온이 삽입된 MoS2를 폴리비닐피롤리돈(polyvinylpyrrolidone, 0.9 g, Sigma-Aldrich)을 디메틸포름아마이드(dimethylformamide, 40 mL, Daejung)에 용해한 용액으로 옮긴 뒤 초음파 세척기(LK-U105D, 유원테크)를 사용하여 56 W의 출력으로 20분간 초음파 처리를 수행하였다.

jfpe-4-2-249-g1
Fig. 1. Schematic illustrations of the (a) ECE process and (b) ink formulation, followed by (c) device fabrication of MoS2 TEG device.
Download Original Figure

초음파 처리가 완료된 용액은 원심 분리기(Supra R22, Hanil)를 이용해 잔여 벌크를 제거하고 분산성 향상을 위해 용매를 이소프로필알코올(Isopropyl alcohol, 40 mL, Daejung)로 교체하였다. 이 용매 교환 과정은 총 3회 반복하여 잔여 DMF와 PVP를 제거하였다. 마지막으로 1,596×g에서 15분간 원심분리하여 충분히 박리되지 않은 벌크 입자와 두꺼운 플레이크를 효과적으로 제거하고 원하는 크기와 두께의 단일층 MoS2 플레이크를 선택적으로 수득하였다. 이러한 원심분리 조건의 최적화를 통해 고품질 MoS2 잉크를 확보하였다.

2.2. 소자 제작 및 측정

단일층 MoS2 플레이크 전계 효과 트랜지스터(field effect transistor, FET) 소자를 제작하기 위해 리프트오프 레지스트(lift off resist)와 포토레지스트(photo resist, AZ 5214E)를 순차적으로 스핀코팅(Spin coater, ACE-2000, Dong-Ah)하였다. 이후 maskless lithography (PLANCK INC)를 사용하여 전극 패턴을 형성하고, E-beam evaporator(KVE-E2006, Korea Vacuum Tech)를 이용하여 Ti(3 nm)/Au(50 nm)를 증착하여 소자를 완성하였다.

ECE MoS2 나노시트 필름 열전소자(ECE MoS2 TEG)의 경우, 먼저 MoS2 ink를 Si/SiO2 기판 위에 2,000 rpm으로 20 초간 스핀코팅하여 필름을 형성하였다. 이후 길이 6 mm, 너비 1 mm 의 필름을 제작한 뒤, 동일한 e-beam evaporator을 이용하여 필름 양단에 Ti(3 nm)/Au(50 nm) 전극을 증착하여 소자를 완성하였다.

제작된 MoS2 플레이크 FET과 MoS2 TEG의 전기적 특성은 진공 환경의 프로브 스테이션(M6VC, MS Tech)에서 계측 장비(B1500a, Keithley)를 사용하여 측정하였다. 필름의 두께는 알파스텝(AS-1Q)을 이용하여 평균값으로 산출하였다.

ECE MoS2 TEG의 제벡 계수를 측정하기 위해 아르곤 환경의 글러브 박스 내에서 펠티어 소자를 이용하여 온도차를 인가하였다.

3. 결과 및 고찰

3.1. ECE MoS2 플레이크의 전기적 특성 평가

ECE MoS2 플레이크의 품질을 검증하기 위하여 FET 소자를 제작하고 전기적 특성을 측정하였다. Fig. 2는 ECE MoS2 플레이크 소자의 transfer curve와 output curve를 나타낸다. Fig. 2(a)에서 확인되듯, 소자의 문턱전압(threshold voltage)은 –60 V 이하임을 볼 수 있다. 기존의 MoS2 플레이크 FET의 문턱전압은 실험 조건과 공정, 결함 수준에 따라 다르게 나타나며, 대체로 –30 V에서 +20 V 사이로 보고된다. 예를 들어, 단순하게 기계적으로 박리한 pristine MoS2의 경우, –30 V~–10 V, 화학적 박리 혹은 결함이 더 많은 경우는 –30 V 이하의 문턱전압을 가지며 뚜렷한 오프 상태를 보인다[1921]. 본 연구에서 제작된 소자의 경우, 기존보다 훨씬 낮은 값을 보였으며, 이는 ECE MoS2에 존재하는 높은 농도의 황 결함(S vacancy)에 기인한 것으로 보인다. 황 결함의 경우, MoS2에 존재할 수 있는 여러 결함 중 형성 에너지가 가장 낮아, 비교적 쉽게 만들어질 수 있다고 알려져 있다[22]. 따라서 ECE 과정 동안 인가된 전기장과 주입된 이온 등에 의해 S2- 이온이 쉽게 탈리되면서 황 결함이 증가한다는 연구와도 일치한다[17]. 이러한 결함은 MoS2 내부의 전자 밀도를 증가시켜, 소자가 과도하게 n형으로 도핑된 것처럼 보이게 하며 낮은 문턱전압을 가지게 된다.

jfpe-4-2-249-g2
Fig. 2. Electrical characteristics of the ECE MoS2 flake FET. (a) Transfer curves of the ECE MoS2 flake FET. Optical image of the ECE MoS2 flake FET (inset). (b) Output curves of the ECE MoS2 flake FET.
Download Original Figure

Fig. 2(b)의 경우, 드레인-소스 전압에 따라 드레인-소스 전류가 선형적으로 증가하는 것을 확인할 수 있다. 이는 전극과 MoS2 채널 사이의 접촉이 오믹(ohmic) 특성을 가지며, 소자의 n형 도핑 농도가 높음을 알 수 있다. 기존의 많은 기계적 박리 소자들은 일반적으로 낮은 전자 밀도와 금속 유도 갭 상태(Metal induced gap state, MIGS)로 인한 페르미 레벨 고정 효과(Fermi level pinning effect)로 인해 쇼트키(Schottky) 특성을 보이는 것으로 알려져 있다[23].

3.2. ECE MoS2 TEG의 전기적 특성 평가

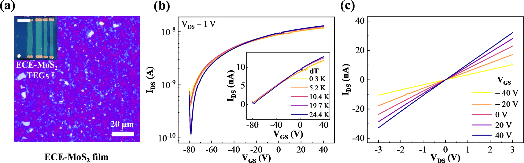
검증된 MoS2 잉크를 사용하여 대면적 필름을 제작하였다. Fig. 3(a)는 ECE MoS2 필름의 표면 형태와 제작된 소자의 외형을 보여준다. ECE MoS2 나노시트들이 서로 연결되어 전자 이동이 가능한 경로를 형성하고 있음을 확인할 수 있었다. 왼쪽 위에 삽입된 사진은 제작된 최종 열전 다리들을 보여준다.

Fig. 3(b)는 다양한 온도 차이에서 소자의 transfer curve를 나타낸다. 온도 차이와 상관 없이, 그리고 ECE MoS2 플레이크 소자와 유사하게, 대면적 ECE MoS2 소자 역시 약 –80 V의 낮은 문턱전압을 보였다. 그러나 드레인-소스 전류는 플레이크 소자에 비해 약 두 자릿수 낮은 값을 나타냈다. 이는 필름 내 MoS2 나노시트 간의 연결과 배열이 불완전하여, 전자 이동 경로가 제한되었기 때문으로 해석된다. 즉, 필름 내의 percolation network는 형성되었으나, 그 연결성이 충분히 발달하지 않아 전자의 연속적인 이동이 원활하지 않은 것으로 판단되며 추후 개선이 될 필요가 있다. 삽입된 그림의 경우, 선형 스케일의 transfer curve를 나타낸다. 게이트 전압에 따라 드레인-소스 전류가 선형적으로 증가하는 것을 알 수 있으며, 이는 금속-반도체 접합이 잘 형성되었음을 의미한다.

jfpe-4-2-249-g3
Fig. 3. Electrical characteristics of the ECE MoS2 TEG. (a) Morphology and devices (inset) of ECE MoS2 TEG. The scale bar in inset is 2 mm. (b) Transfer curves of the ECE MoS2 film TEG. (c) Output curves of the ECE MoS2 flake TEG.
Download Original Figure

Fig. 3(c)는 소자의 output curve를 나타낸다. ECE MoS2 플레이크 소자와 같이, 전극과 채널 사이의 접촉이 대칭적이고 선형적인 오믹 컨택 특성을 가지고 있음을 확인할 수 있다.

3.3. ECE MoS2 TEG 열전 성능 평가

ECE MoS2 TEG의 열기전력(dV)을 측정하기 위해, 온도차(dT)를 바꾸어가며 드레인-소스 전극에 정밀한 전압을 인가하고 그에 따른 드레인-소스 전류를 측정하였다. 이는 Fig. 4(a)에 나와 있다.

jfpe-4-2-249-g4
Fig. 4. (a) Output characteristics of the ECE MoS2 TEG device measured under different dT. (b) Thermoelectric voltage as the function of dT varying gate voltage from 0 V to 40 V. (c) Seebeck coefficient and electrical conductivity values of ECE MoS2 TEG under various gate voltage. (d) Power factor of ECE MoS2 TEG as function of gate voltage. (e) Benchmark of device scale and Seebeck coefficient in previously studied MoS2-based TEG devices.
Download Original Figure

오믹 영역에서의 전류는 다음과 같이 표현된다.

I = G ( V DS dV )
(1)

여기서 G는 열전 소자의 컨덕턴스(conductance)이다. 따라서 전류-전압 곡선의 x절편은 열기전력(dV)에 해당한다. Fig. 4(a)에서 온도차(dT)가 증가함에 따라 x절펀이 점차 커지는 것을 확인할 수 있다. 이로부터 각 온도차에 대응하는 dV를 추출하여 Fig. 4(b)에 나타내었다. n형 반도체의 제벡 계수(S)는 다음과 같이 정의된다.

S = dV/dT
(2)

Fig. 4(b)의 기울기로부터 VGS=0 V, 20 V, 40 V에서의 제벡 계수는 각각 –174, –202, –215 μV·K–1로 계산되었다. 이는 기존의 고품질 기계적 박리 소자들의 경우와 비슷한 값이다. 게이트 전압을 변화시키며 측정한 이유는, 게이트 전압이 채널 내 전하 농도를 변화시켜 제벡 계수와 전기 전도도를 조절할 수 있기 때문이다.

Fig. 4(c)는 게이트 전압에 따른 MoS2 TEG의 제벡 계수(S)와 전기 전도도(σ)를 나타낸 그래프이다. 전기 전도도(σ)는 Fig. 3(b)의 output curve로부터 구한 기울기를 이용하여 다음 식으로 계산하였다.

σ = R meas ( L/W t )
(3)

여기서 L, W, t는 채널의 길이(6 mm), 너비(1 mm), 두께(10 nm)를 뜻한다. 계산 결과, VGS=0 V, 20 V, 40 V에서의 전기 전도도는 각각 5.6, 7.0, 8.2 S·m–1로 나타났다. 이는 일반적인 MoS2에 비해 낮은 수치로, MoS2 나노시트 간의 불완전한 연결성으로 전하 이동 경로가 제한되었고, 측정한 저항(Rmeas)에 전극과 채널 간의 컨택 저항이 포함되어 실제 채널의 저항보다 크게 측정되었기 때문으로 해석된다[24]. 주목할 점은, 보통 제벡 계수의 경우 전기 전도도가 증가하면 감소하는 경향이 있는데, ECE MoS2 TEG의 경우 전기 전도도가 증가함에 따라 제벡 계수 역시 증가하는 것이 관찰되었다. 이는 높은 전하 농도와 낮은 퍼콜레이션 네트워크 연결성에서 기인된 것으로 추정된다. 대면적 ECE MoS2의 경우, 이온성 전하 불순물 등이 다량 존재할 수 있는데, 높은 전자 농도, 즉 높은 전기 전도도에서는 이러한 전하 불순물과의 산란이 억제되기 때문이다[25].

Fig. 4(d)는 계산된 S와 σ를 이용하여 산출한 power factor(PF) 값을 나타낸다. Power factor는

PF = S 2 σ
(4)

로 정의되며, 열전소자의 전하 수송 능력과 전기적 효율을 동시에 나타내는 지표이다. 계산 결과, VGS=0 V, 20 V, 40 V에서의 PF는 각각 0.17, 0.29, 0.38 μW·m–1·K–2로 나타났다. 이는 비교적 낮은 전기 전도도에 기인한 결과로, 전하 이동도가 제한되어 전체 열전 성능이 낮게 평가된 것으로 판단된다. 추후 연결성 개선으로 전기 전도도가 향상된다면 크게 증가될 수 있을 것으로 기대된다.

Fig. 4(e)는 디바이스의 채널 길이와 제백계수에 대한 벤치마크를 나타낸 그래프이다[9,14,26-30]. 일반적으로 디바이스의 채널 길이가 길수록 대면적화가 가능함을 의미하지만, 이 경우 복합화 등의 영향으로 전하가 열에 의해 효과적으로 수송되지 못해 제벡 계수가 낮아지는 경향을 보인다. 반대로, 제벡 계수가 높은 결과는 대부분 마이크로 또는 플레이크 단위의 소규모 소자에서 보고되어 실제 응용에는 한계가 있다. 그러나 본 연구에서 제작된 ECE MoS2 TEG는 대면적 채널 규모를 유지하면서도 높은 제벡 계수를 확보했다는 점에서 의미가 있다.

마지막으로, 본 연구에서는 제작된 ECE MoS2 TEG의 열전성능지수(ZT) 계산에 필요한 열전도도는 측정하지 못하였다. 이는 MoS2 필름이 수십 나노미터 두께의 초박막 구조로 두꺼운 Si/SiO2 기판 위에 형성되어 기판의 열전달 특성이 지배적으로 작용하고, TDTR (time domain thermoreflectance)와 같은 박막 열전도도 측정 기법 또한 필름의 표면 거칠기로 인해 정량적 평가에 한계가 있기 때문이다. 추후 연구에서 진공 여과법과 같은 방식으로 자립형필름 구조 제작을 통해 측정할 수 있을 것이라 기대된다.

4. 결론

본 연구에서는 ECE 공정을 통해 박리한 MoS2 나노시트 잉크를 이용하여 대면적 열전소자를 제작하고, 전기적 및 열전 특성을 종합적으로 분석하였다. ECE MoS2는 황 결함 농도가 높아 낮은 문턱전압을 보였으며, 오믹 접촉 특성을 갖는 대칭적 전극 구조를 구현하였다.

ECE MoS2 TEG는 약 –80 V의 낮은 문턱전압을 보였으며, 나노시트 간 연결성 부족으로 전류값이 제한되는 특성을 보였다. VGS=0, 20, 40 V에 따른 제벡 계수와 power factor는 각각 –174, –202, –215 μV·K–1 / 0.17, 0.29, 0.38 μW·m–1·K–2로 산출되었으며, 기존 기계적 박리로 얻어진 고품질 나노 플레이크와 비슷한 수준의 제벡 계수를 확보할 수 있었다.

본 연구에서 관찰된 상대적으로 낮은 전기전도도는 나노시트 간 연결성 부족에 기인한 것으로 해석된다. 향후 연구에서는 잉크 농도 최적화와 코팅 공정 최적화를 통해 필름의 균일도를 향상시켜 MoS2 나노시트 간 네트워크를 보다 치밀하게 형성하고자 한다. 또한 나노시트 표면 및 전극/필름 계면에 잔존하는 결함은 컨택 저항을 증가시키는 주요 요인으로 작용할 수 있으므로 열 및 화학 후처리 공정 등을 적용하여 계면 접촉 특성을 개선하고자 한다. 이를 통해 전하 수송 특성을 향상하여 열전 성능 및 효율 개선이 가능할 것이라 기대된다.

또한, 본 연구에서 제안한 용액 공정 기반 ECE MoS2 TEG는 유연 전자 소자 및 인쇄 전자 소자 등 다양한 분야에서 응용이 가능할 것이라고 기대된다.

기호설명

2D:

Two dimensional

DoS:

Density of state

vdW:

van der Waals

S:

Seebeck coefficient

TMC:

Transition metal chalcogenide

CVD:

Chemical vapor deposition

CNT:

Carbon nanotube

rGO:

Reduced graphene oxide

ECE:

Electrochemical exfoliation

THAB:

Tetraheptylammonium bromide

TEG:

Thermoelectric generator

MIGS:

Metal induced gap state

FET:

Field effect transistor

PF:

Power factor

TDTR:

Time domain thermoreflectance

Funding

This work was supported by the National Research Foundation (NRF) (No. NRF-2021R1C1C2091728).

Declarations of Competing Interests

The authors declare that they have no competing interests.

REFERENCES

[1].

Champier, D. Thermoelectric Generators: A Review of Applications. Energy Convers. Manag. 2017, 40, 167-181.

[2].

Jouhara, H.; Żabnieńska-Góra, A.; Khordehgah, N.; Doraghi, Q.; Ahmad, L.; Norman, L. et al. Thermoelectric Generator (TEG) Technologies and Applications. Int. J. Thermofluids. 2021, 9, 100063.

[3].

Sári, D.; Ferroudj, A.; Semsey, D.; El-Ramady, H.; Brevik, E. C.; Prokisch, J. Tellurium and Nano-Tellurium: Medicine or Poison? Nanomaterials (Basel). 2024, 14 (8), 670.

[4].

Parashchuk, T.; Wiendlocha, B.; Cherniushok, O.; Knura, R.; Wojciechowski, K. T. High Thermoelectric Performance of P-Type Pbte Enabled by the Synergy of Resonance Scattering and Lattice Softening. ACS Appl. Mater. Interfaces. 2021, 13 (41), 49027-49042.

[5].

Li, G.; An, Q.; Li, W.; Goddard, W. A., III; Zhai, P.; Zhang, Q. et al. Brittle Failure Mechanism in Thermoelectric Skutterudite CoSb3. Chem. Mater. 2015, 27 (18), 6329-36.

[6].

Kanahashi, K.; Pu, J.; Takenobu, T. 2D Materials for Large‐Area Flexible Thermoelectric Devices. Adv. Energy Mater. 2020, 10 (11), 1902842.

[7].

Wu, J.; Chen, Y.; Wu, J.; Hippalgaonkar, K. Perspectives on Thermoelectricity in Layered and 2D Materials. Adv. Electron. Mater. 2018, 4 (12), 1800248.

[8].

Manzeli, S.; Ovchinnikov, D.; Pasquier, D.; Yazyev, O. V.; Kis, A. 2d Transition Metal Dichalcogenides. Nat. Rev. Mater. 2017, 2 (8), 17033.

[9].

Razeghi, M.; Spiece, J.; Oğuz, O.; Pehlivanoğlu, D.; Huang, Y.; Sheraz, A. et al. Single-Material MoS2 Thermoelectric Junction Enabled by Substrate Engineering. npj 2D Mater. Appl. 2023, 7 (1), 36.

[10].

Lee, M. J.; Ahn, J. H.; Sung, J. H.; Heo, H.; Jeon, S. G.; Lee, W. et al. Thermoelectric Materials by Using Two-Dimensional Materials with Negative Correlation between Electrical and Thermal Conductivity. Nat. Commun. 2016, 7 (1), 12011.

[11].

Lin, Z.; Zhao, Y.; Zhou, C.; Zhong, R.; Wang, X.; Tsang, Y. H, et al. Controllable Growth of Large-Size Crystalline MoS2 and Resist-Free Transfer Assisted with a Cu Thin Film. Sci. Rep. 2015, 5 (1), 18596.

[12].

Cheng, L.; Liu, Y. What Limits the Intrinsic Mobility of Electrons and Holes in Two Dimensional Metal Dichalcogenides? J. Am. Chem. Soc. 2018, 140 (51), 17895-17900.

[13].

Gautam, A. K.; Faraz, M.; Khare, N. Enhanced Thermoelectric Properties of MoS2 with the Incorporation of Reduced Graphene Oxide (RGO). J. Alloys Compd. 2020, 838, 155673.

[14].

Archana, C.; Harish, S.; Abinaya, R.; Archana, J.; Navaneethan, M. Interface Modified MoS2/CNT with Enhanced Power Factor Via Energy Filtering Effect for Flexible Thermoelectric Applications. Sens. Actuators A: Phys. 2022, 348, 113938.

[15].

Jenisha, M. A.; Kavirajan, S.; Harish, S; Archana, J.; Kamalabharathi, K.; Kumar, E. S. et al. Interfacial Engineering Effect and Bipolar Conduction of Ni- Doped MoS2 Nanostructures for Thermoelectric Application. J. Alloys Compd. 2022, 895, 162493.

[16].

Zhang, L.; Zhao, G.; Wu, X. Al/P Doped MoS2 with High Conductivity toward High-Performance Asymmetric Supercapacitor. J. Alloys Compd. 2025, 1032, 181073.

[17].

Tsai, C.; Li, H.; Park, S.; Park, J.; Han, H. S.; Nørskov, J. K. et al. Electrochemical Generation of Sulfur Vacancies in the Basal Plane of MoS2 for Hydrogen Evolution. Nat. Commun. 2017, 8 (1), 15113.

[18].

Pan, Y.; Yu, E.; Wang, D.; Deng, H. Sulfur Vacancy Enhances the Electronic and Optical Properties of FeS2 as the High Performance Electrode Material. J. Alloys Compd. 2021, 858, 157662.

[19].

Leong, W. S.; Li, Y.; Luo, X.; Nai, C. T.; Quek, S. Y.; Thong, J. T. L. Tuning the Threshold Voltage of MoS2 Field-Effect Transistors Via Surface Treatment. Nanoscale. 2015, 7 (24), 10823-10831.

[20].

Sebastian, A.; Pendurthi, R.; Choudhury, T. H.; Redwing, J. M.; Das, S. Benchmarking Monolayer MoS2 and WS2 Field-Effect Transistors. Nat. Commun. 2021, 12 (1), 693.

[21].

Wang, J.; Guo, X.; Yu, Z.; Ma, Z.; Liu, Y.; Lin, Z. et al. Low‐Power Complementary Inverter with Negative Capacitance 2D Semiconductor Transistors. Adv. Funct. Mater. 2020, 30 (46), 2003859.

[22].

Sensoy, M. G.; Vinichenko, D.; Chen, W.; Friend, C. M.; Kaxiras, E. Strain Effects on the Behavior of Isolated and Paired Sulfur Vacancy Defects in Monolayer MoS2. Phys. Rev. B. 2017, 95 (1), 014106.

[23].

Gong, C.; Colombo, L.; Wallace, R. M.; Cho, K. The Unusual Mechanism of Partial Fermi Level Pinning at Metal-MoS2 Interfaces. Nano Lett. 2014, 14 (4), 1714-1720.

[24].

Allain, A.; Kang, J.; Banerjee, K.; Kis, A. Electrical Contacts to Two-Dimensional Semiconductors. Nat. Mater. 2015, 14 (12), 1195-1205.

[25].

Jang, J.; Kim, J. K.; Shin, J.; Kim, J.; Baek, K. Y.; Park, J. et al. Reduced Dopant-Induced Scattering in Remote Charge-Transfer-Doped MoS2 Field-Effect Transistors. Sci. Adv. 2022, 8 (38), eabn3181.

[26].

Jiang, F.; Xiong, J.; Zhou, W.; Liu, C.; Wang, L.; Zhao, F. et al. Use of Organic Solvent-Assisted Exfoliated MoS2 for Optimizing the Thermoelectric Performance of Flexible PEDOT:PSS Thin Films. J. Mater. Chem. A. 2016, 4 (14), 5265-5273.

[27].

Wang, T.; Liu, C.; Xu, J.; Zhu, Z.; Liu, E.; Hu, Y. et al. Thermoelectric Performance of Restacked MoS2 nanosheets Thin-Film. Nanotechnology. 2016, 27 (28), 285703.

[28].

Tang, G.; Cai, K.; Cui, J.; Yin, J.; Shen, S. Preparation and Thermoelectric Properties of MoS2/Bi2Te3 Nanocomposites. Ceram. Int. 2016, 42 (16), 17972-17977.

[29].

Li, Q.; Li, P.; Li, Y.; Sidike, S.; Xu, Y.; Wang, Y. et al. Flexible Molybdenum Disulfide/Carbon Nanotube Composite Films for Thermoelectric Applications. Energy Mater. Adv. 2024, 5, 0114.

[30].

Pu, J.; Kanahashi, K.; Cuong, N. T.; Chen, C. H.; Li, L. J.; Okada, S. et al. Enhanced Thermoelectric Power in Two-Dimensional Transition Metal Dichalcogenide Monolayers. Phys. Rev. B. 2016, 94 (1), 014312.